False Positives: W-shaped transits
Computers are amazing, but sometimes they do something unexpected. In this blog post, we explain the reason you sometimes find a W-shaped transit on Planet Hunters NGTS.
On Planet Hunters NGTS, we show you phase-folded light curves which are images produced by a computer algorithm that has calculated the best guess at the period of the transiting object (if there is one!). You can read more about how this is done in this blog post. However, sometimes the computer algorithm might calculate this period incorrectly. This can happen for a number of reasons but quite often it can be due to a deep secondary transit in an eclipsing binary system that the algorithm misinterprets as another primary transit. In the image below, the primary transits are the deep transits when the yellow star is completely blocked (occulted) by the redder star. The secondary transit is the shallower dip in the centre of the plot when the smaller star is blocking part of the large, red star. Note that this plot shows both the raw data points in grey and the binned data in red (explained below).

In the example above, the primary transits are at 0.5 and 3.0 days therefore the true orbital period is the difference between them, 2.5 days. If the computer correctly identifies this then you would be presented with an image zoomed in on the primary transit. However, if the algorithm doesn’t correctly notice the difference in depths then it may calculate the period to be 1.25 days, half of the true period, as it believes the shallow transit in the middle to be another primary transit. Once the algorithm has determined a period, it “bins” the raw data points (grey) to create the red data points. This means that we calculate the average flux of all the points in a set time window, which is referred to as a bin. Each red point in the plot above corresponds to a 30 minute bin and will contain around 140 raw data points on average since the NGTS telescopes take an image of the sky every 13 seconds. (The telescope cameras use 10 second exposures, followed by a 3 second delay before the next exposure while the shutter closes and the camera CCD reads out the flux on each pixel).
If the algorithm has folded the primary and secondary transit points on top of each other, as shown below, then the binning process will combine the raw fluxes into an average value somewhere in between the true flux values. This results in the erroneous W-shaped transit!

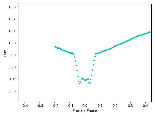
The next figure is an image from the Planet Hunters NGTS site that shows this W-shape, although it’s only a very slight effect. In this case, the subject gained enough votes to be pushed through to the odd/even transit depth check. This is expected since we yet don’t have a classification option for W-shaped transits.

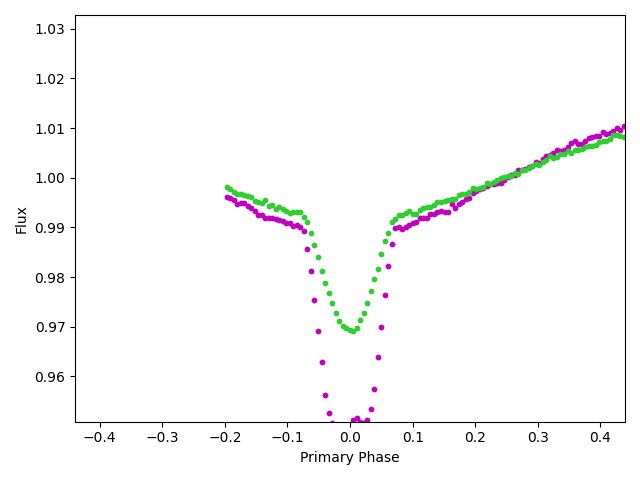
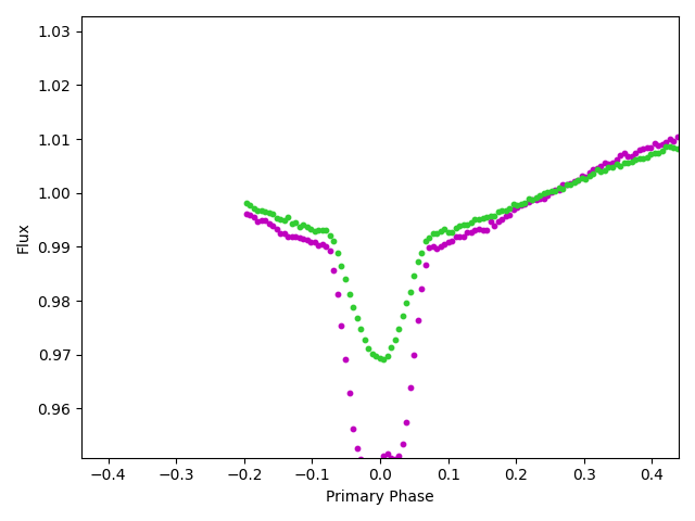
The odd/even transit check allows us to straight away spot the different depths of the primary and secondary transit. We can see that the magenta points correspond to the deeper primary transit while the green points show the shallower secondary transit. The distinct V-shape of both transits, as well as the rising flux after the transit are stereotypical of eclipsing binary systems.

If you spot something like this, then try to classify the shape of the transit as best you can into either U or V-shape. In the case of the example above, I’d choose V-shaped, but if you need more help then check out this blog post. Also, feel free to mark it as #w-shaped on the Talk channel, it helps us to check why this happens when our computer processes the data. Once we have analysed the rate at which this kind of transit shape occurs, we may introduce a W-shaped classification category to the interface, allowing you to more easily help us filter out these false positives.

Trackbacks / Pingbacks