NGTS-EB-8: An eclipsing binary discovered by you! (Part 2)
In Part 1, I described the new observations we acquired for one of our candidates to try to determine whether it was an exoplanet, or, in fact, a binary star system. The crucial radial velocity measurements revealed the latter was true and in this post I will describe what we have since learned about the system as we analyzed it further.
We took another look at the NIRPS observations with the knowledge that we were actually looking for two stars, and we were able to measure the radial velocities (RVs) across the whole month of observations for both stars. The image below shows these RVs in two different colors with the orange circles showing the velocity measurements for the larger of the two stars (the primary star) and the green squares showing the measurements for the smaller star (the secondary star). The lines show the best fit models to the data and these nice clear RV curves allow us to get a really good idea of the ratio of the masses of the two stars. The ratio of the masses is equal to 0.83, meaning the two stars are quite similar in mass (if they were equal they would have a mass ratio of 1, while a value closer to 0 would suggest they have very different masses).

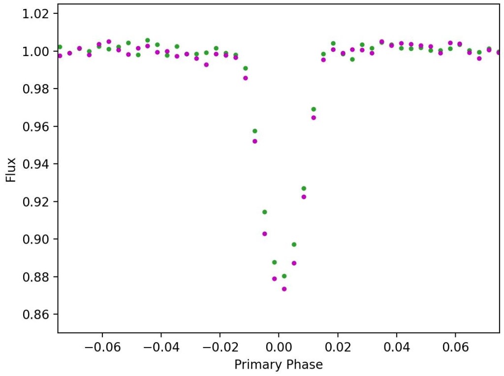
We were also able to determine that the orbital period (how often the stars go round each other) was actually double what we thought, meaning that they were orbiting one another every 4.2 days. This was an important discovery as this told us that what we had believed to be one object causing a transit every 2.1 days was actually two different eclipses! This is exactly the kind of thing the Odd/Even Transit Check is meant to spot, so why didn’t we? The plot on the left below shows the image that was classified in Planet Hunters NGTS and unfortunately the bottom of the transit was cut-off! This was because the algorithm that initially detects the transit signals underestimated the depth so then when the diagnostic plot was created it didn’t show the full extent of the transit. The plot on the right shows the odd/even for the full depth of the transit, which we were able to use to take a closer look at the data, and even here the difference between the depths of the green and magenta points is so subtle that it wasn’t enough to conclusively determine that this was in fact an eclipsing binary.


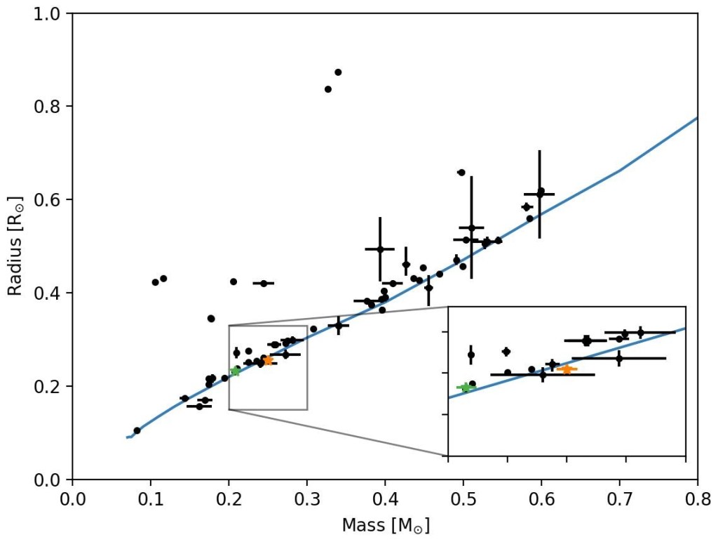
Equipped with our new knowledge of the correct orbital period, we were then able to model all the available data and derive measurements of the individual masses and radii of the two stars in the system. These are crucial measurements, as the mass and radius of a star allow us to compare it with other similar systems that have been discovered in the past and draw conclusions about whether the system follows theoretical predictions or deviates from what we expect! The image below shows different stars discovered in eclipsing binaries as black points and the theoretical mass-radius relation as a blue line (this is what theoretical modelling suggests should be the mass and radii of stars). The values on the axes are expressed in terms of solar units, meaning that our stars are approximately one quarter the radius of the Sun (~0.25 R⊙). The orange point shows the position of the primary star while the green point shows the position of the secondary star.

This plot shows us that both stars align well with the theoretical prediction (the blue line). That may sound obvious, but low-mass stars are a particularly interesting case where there is currently a “radius inflation problem” seen. The radii of low-mass stars that we discover in general appear larger than the theoretical models suggest (you can see how a lot of the black points sit slightly above the blue line in the plot), and so there is currently some confusion over the mechanisms that might be causing this. Therefore by discovering more systems that are aligned with the theoretical models, we can place better constraints on how significant this problem is, whether the models need to be altered, or if better observations could reveal more about the true masses and radii of all these stars. Eclipsing binary systems like this are generally really useful tools for calibrating other methods of estimating stellar masses and radii. As you can see, it takes a lot of observations and a lot of analysis to measure the masses and radii of just two stars. Therefore it’d be extremely impractical to have to do this for every single star we normally observe in a survey like NGTS or TESS and so we need different ways to determine the properties of most stars. By getting these accurate measurements that are independent of the typical methods used to determine stellar properties, we can calibrate the methods used to get even more accurate estimates of the masses and radii of a much wider range of stars!
While this system isn’t a planet orbiting a star as we had initially thought, it’s still a really interesting and valuable system that will hopefully be useful to astronomers in the future. This discovery wouldn’t have been possible without the Planet Hunters NGTS project and to recognise the important role that citizen scientists played in this discovery, the names of all those who classified this system in Planet Hunters NGTS (and gave consent for their name to be used) are included in the author list of the journal article! The official journal article will be available at the following link in a few weeks: https://doi.org/10.3847/1538-3881/ae0e0d, but you can already read the pre-print version on arXiv here: “NGTS-EB-8: A Double-lined Eclipsing M+M Binary Discovered by Citizen Scientists”.
NGTS-EB-8: An eclipsing binary discovered by you! (Part 1)
In my previous post describing the planet candidates that you helped discover as part of the Planet Hunters NGTS project, I mentioned the candidate TIC-165227846, an exciting system that at the time we believed to be a giant planet orbiting a small star. These kinds of systems are really interesting because they’re so puzzling. Planets form from material that orbits a new star in a disk-like structure called a protoplanetary disk. The amount of material in the disk correlates with the mass of the host star, so a really small star will have less material available for planet-building and therefore giant planets just shouldn’t be able to form! Given how interesting and rare this target was (at the time we found our candidate, there were only ~10 planets like this, and even now scientists have only found ~30 planets of similar size orbiting close to really small stars), we decided to get more observations to try and determine what kind of star-planet combination we were really seeing.
We’d already acquired speckle imaging observations (you can read more about what those are here) which told us that there probably wasn’t a nearby star that would give us a false impression of the transit depth. The next step was to get radial velocity observations. This technique works by detecting how much a star is “wobbling.” When we say the planets orbit the Sun, really we mean the planets AND the Sun orbit the entire Solar System’s common centre of mass, it just happens to be that this point is very close to the Sun since it’s so big. It’s the same story for exoplanets and stars orbiting one another, they all move around the system’s centre of mass. The wobbling that we detect from the host star is caused by any exoplanets or other stars that are orbiting it, and the amount of wobble relates to how much mass the object orbiting the host has. What this means is that if the star isn’t wobbling much, then it’s likely that the thing causing it to wobble is a planet, but if we see really large changes in the velocity of the star, or are even able to measure two different stellar signals, then we can determine that we are in fact seeing a binary star system, i.e. two stars orbiting one another!
We can measure how much the star is moving using spectrographs, which are instruments that split the light from stars into its individual wavelengths, similar to how a prism splits light into a rainbow. This allows us to see specific lines in the spectrum of the star that move depending on the relative velocity of the star due to the Doppler effect (the Doppler effect is the same effect that changes the pitch of an ambulance siren as it moves towards and away from you, it’s all about wavelengths changing with velocity).
We first used the Near Infra Red Planet Searcher (NIRPS) instrument that is mounted on the 3.6-metre telescope at the La Silla Observatory in Chile. We took 9 different measurements of the system over the course of a month however because the system is so faint, we couldn’t definitively tell if we had detected a planet or another star orbiting really close to the host. We next obtained observations with the Gemini High-resolution Optical SpecTrograph, or GHOST (astronomers love their terrible forced acronyms), which is mounted on the 8.1-metre Gemini-South telescope in Cerro Pachon, Chile. The bigger telescope means that we could collect more light from the star and therefore overcome the issue of it being so faint. This allowed us to get good enough observations to get a more definitive answer. The image below shows the key information for diagnosing whether this system is made up of a star and planet or two stars. It’s called a cross-correlation function and this is the tool we use to measure those velocity shifts, with any large dips being caused by a star moving with the velocity that the dip matches up with on the x-axis.

And there it is! Two big dips in the intensity indicating that we in fact are looking at two stars orbiting one another! In Part 2 I’ll talk more about what we learned about this system and why we didn’t spot it sooner!
